Bahaya Berdiri di Dekat Kereta yang Lewat
Ketika kita berada di stasiun kereta api maka pada tempat berdiri saat menunggu kereta berhenti terdapat garis kuning pada peron seperti ditunjukkan pada Gambar 1. Garis itu adalah batas terdekat dengan kereta yang diijinkan bagi calon penumpang untuk berdiri. Jika kita berdiri melampaui batas tersebut maka sangat berbahaya. Kita bisa ketarik ke arah kereta yang sedang melintas dan jatuh ke kereta. Tarikan terasa makin keras jika kecepatan kereta makin cepat. Pertanyaan yang menarik adalah mengapa jika berdiri dekat ke kereta yang sedang melintas maka kita bisa ketarik ke arah kereta?

Penjelasan atas larangan tersebut sebagai berikut. Ketika tidak ada kereta yang lewat maka udara di stasiun dalam keadaan diam. Namun, ketika kereta lewat maka udara yang bersinggungan dengan kereta kereta hingga jarak beberapa puluh sentimeter dari permukaan kereta bergerak searah gerakan kereta. Pada persentuhan dengan body kereta, kecepatan udara sama dengan kecepatan kereta (lihat Gambar 2 sebagai ilustrasi). Makin menjauh dari body kereta, kecepatan udara makin kecil dan tetap nol (diam) pada jarak yang cukup jauh dari kereta. Jadi kita memiliki daerah yang mengandung udara yang bergerak (dekat body kereta) dan yang diam (jauh dari body kereta). Pertanyaan, apa akibatnya dengan adanya udara yang memiliki kecepatan berbeda tersebut?

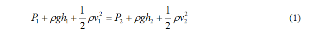
Dalam plejaran fluida dinamik kita pasti telah belajar tentang persamaan Bernoulli, yaitu

di mana
P1 adalah tekanan udara pada posisi 1;
P2 adalah tekanan udara pada posisi 2;
r adalah massa jenis udara;
g adalah percepatan gravitasi bumi;
h1 adalah ketinggian posisi 1;
h2 adalah ketinggian posisi 2;
v1 adalah kecepatan udara di posisi 1;
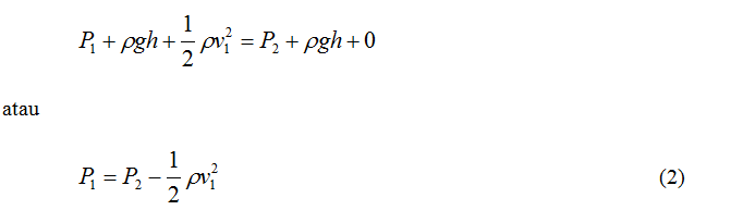
Kita pilih posisi 1 adalah posisi yang berada di dekat body kereta dan posisi 2 adalah posisi yang jauh dari body kereta. Dengan demikian kira-kira sama dengan kecepatan kereta dan . Kita ambil dua titik yang memiliki ketinggian yang sama, h1 = h2 = h maka persamaan Bernoulli menjadi

Jelas dari persamaan (2) bahwa dengan adanya aliran udara di sekitar body kereta maka tekanan udara sekitar body kereta mengecil. Tekanan udara yang jauh dari kereta lebih besar daripada tekanan udara yang bersentuhan dengan body kereta. Selisih ketakan tersebut adalah

Dengan adanya selisih tekanan ini maka akan muncul gaya dorong ke arah kereta. Besarnya gaya dorong bergantung pada luas permukaan benda. Jika ada orang berdiri sekitar kereta lewat maka orang tersebut akan merasakan gaya dorong yang bergantung pada selisih kecepatan udara di sisi badan yang menghadap kereta dan sisi badan yang menjauhi kereta serta luas permukaan badan.
Sebagai ilustrasi, misalkan tubuh didekati dengan semuah balok dengan tinggi 1,6 meter dan lebar 30 cm = 0,3 m. Misalkan pula ada kereka yang melintas dengan kecepatan 72 km/jam = 20 m/s. Massa jenis udara adalah r = 1 kg/m3. Luas penampang tubuh adalah A = 1,6 ´ 0,3 = 0,48 m2. Perbedaan tekanan udara

Gaya dorong ke arah kereta

Gaya ini kira-kira sama dengan berat benda yang bermassa 9,8 kg. Dengan demikian besar gaya tersebut cukup besar.
Gaya dorong yang dialami lebih besar lagi jika kecepatan kereta makin besar. Jika kita berdiri rileks, maka gaya sebesar itu biaa membuat kita terdorong ke arah kereta. Sama dengan saat kita berdiri rileks maka jika tiba-tiba didorong oleh teman dengan dorongan yang pelan pun dapat menyebabkan kita terjatuh.
Apa maksudnya garis batas yang ada di tempat tunggu stasiun? Jika kita berdiri di belakang garis batas tersebut maka beda kecepatan udara di depan dan di belakang badan sangat kecil karena kita sudah cukup jauh dari body kereta. Akibatnya gaya dorong kea rah kereta yang dialami tubuh menjadi sangat kecil. Dengan demikian, dalam keadaan rireks pun kita tidak sanggup didorong kea rah kereta.
Gaya akibat perbedaan kecepatan udara ini disebu gaya Bernoulli. Disebut gaya Bernoulli karena diturunkan dari persamaan Bernoulli. Gaya yang sama bekerja pada sayap pesawat atau sayap burung. Kecepatan udara di sisi atas sayap lebih besar daripada kecepatan udara di sisi bawah sayap. Akibatnya, tekanan udasa di atas sayap lebih kecil daripada di sisi bawah sayap. Dengan demikian sayap mengalami gaya angkat. Untuk menghasilkan perbedaan kecepatan tersebut maka sisi atas pesawat harus lebih lengkung dibandingkan dengan sisi bawah seperti diilustrasikan pada Gambar 3. Akibatnya, pada sisi atas pesawat udara menempuh jarak lebih panjang daripada sisi bawah. Karena udara melewati sayap pada selang waktu yang maka maka kecepatan udara di sisi atas menjadi lebih besar daripada di sisi bawah.

Sumber gambar fitur: beritapasundan.com


